• Предмет: Физика
  • Автор: privetdfgdfghdf
  • Вопрос задан 11 лет назад

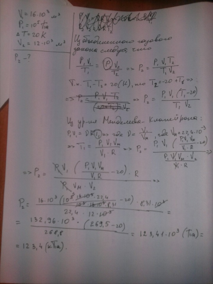
При нормальных условиях газ занимает объем 16 л. При понижении температуры на 20 к объем газа стал равен 12 л. Каким при этом стало давление?

Ответы

Ответ дал: GinGer007
0

вот смотрите, надеюсь разберётесь)

Приложения:
Вас заинтересует