• Предмет: Алгебра
  • Автор: ggedgg
  • Вопрос задан 9 лет назад

Решите пожалуйста линейное уравнение

Приложения:

Ответы

Ответ дал: ARTROSE
0
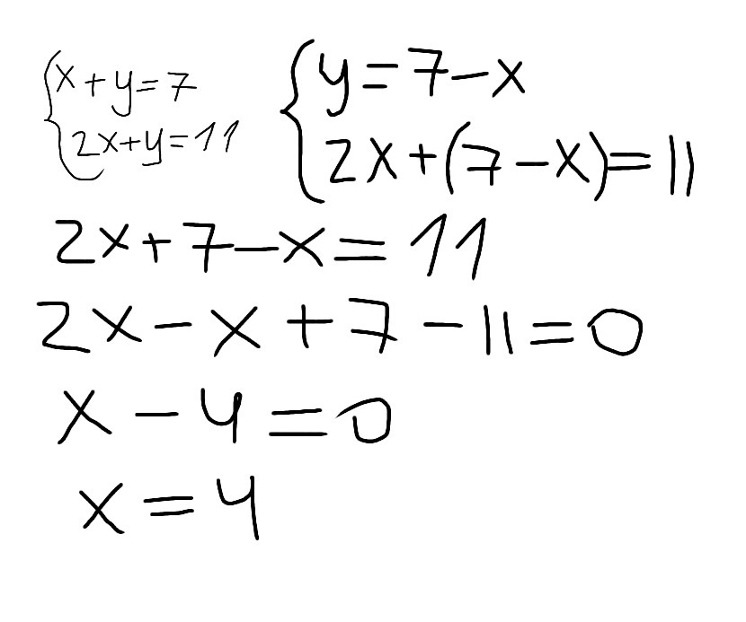
значит выражаем -y- через первое уравнение, потом подставляем его во второе и решаем
Приложения:
Вас заинтересует