Ответы
Ответ дал:
0
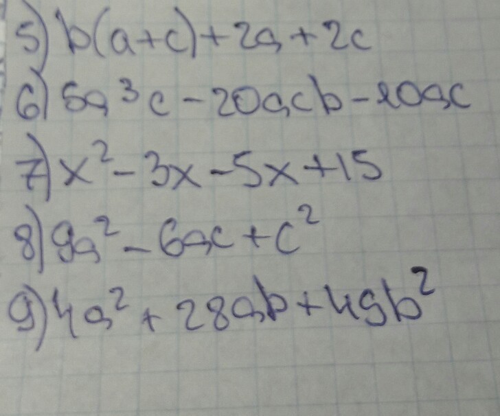
5) b(a+c)+2a+2c=b(a+c)+2(a+c)=(a+c)(b+2)
6)5a^3c-20acb-10ac=5ac(a^2-4b-2)
7)x^2-3x-5x+15=x(x-3)-5(x-3)=(x-3)(x-5)
8)9a^2-6ac+c^2=(3a-c)^2
9)4a^2+28ab+49b^2=(2a+7b)^2
6)5a^3c-20acb-10ac=5ac(a^2-4b-2)
7)x^2-3x-5x+15=x(x-3)-5(x-3)=(x-3)(x-5)
8)9a^2-6ac+c^2=(3a-c)^2
9)4a^2+28ab+49b^2=(2a+7b)^2
Вас заинтересует
2 года назад
2 года назад
7 лет назад
10 лет назад
10 лет назад
10 лет назад