• Предмет: Алгебра
  • Автор: Саша1111111156
  • Вопрос задан 9 лет назад

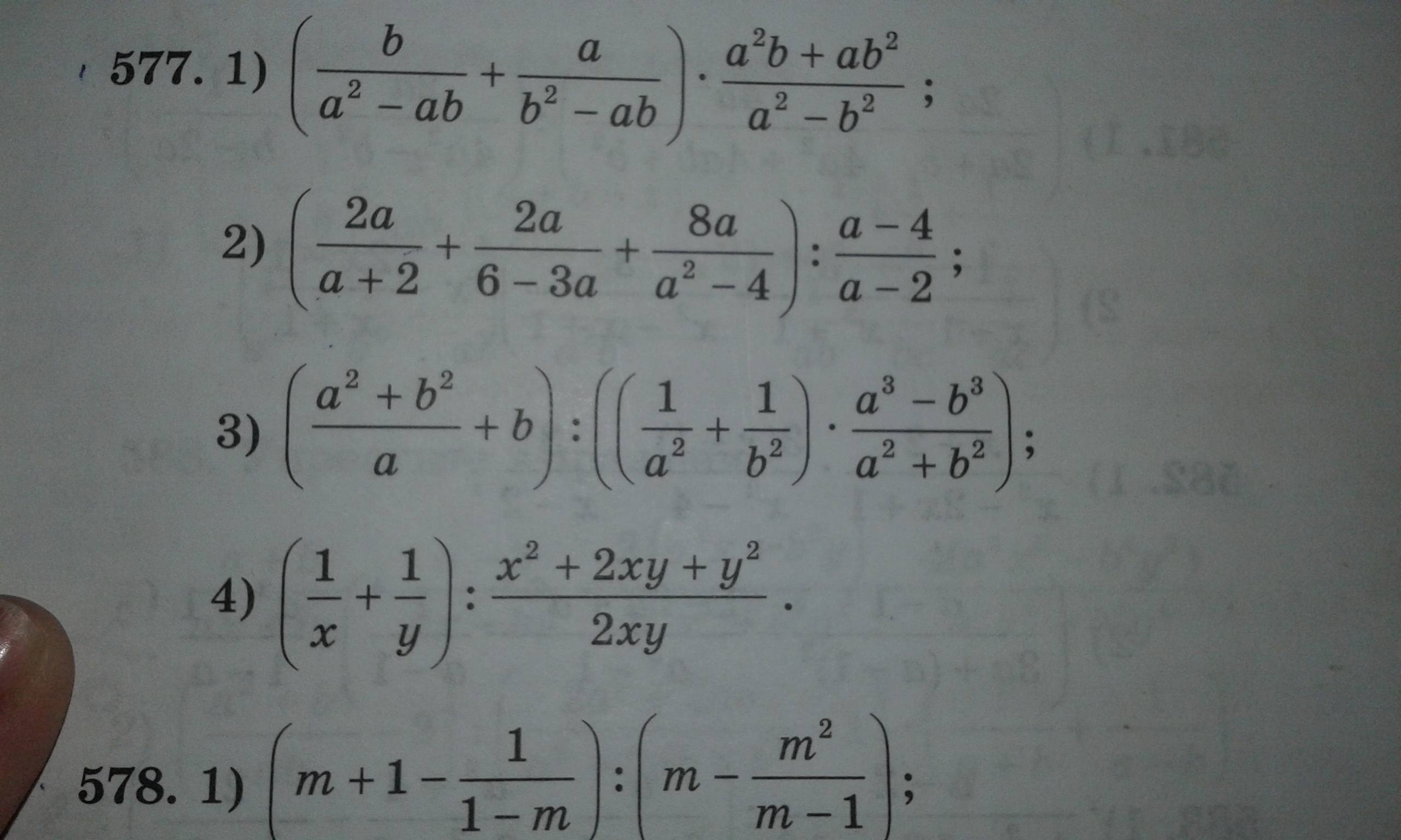
упростите выражение 3 и 4 пример. по действиям. заранее спасибо!

Приложения:

Ответа на этот вопрос пока нет. Попробуйте найти его через форму поиска.

Вас заинтересует