• Предмет: Алгебра
  • Автор: Ksenichka508
  • Вопрос задан 11 лет назад

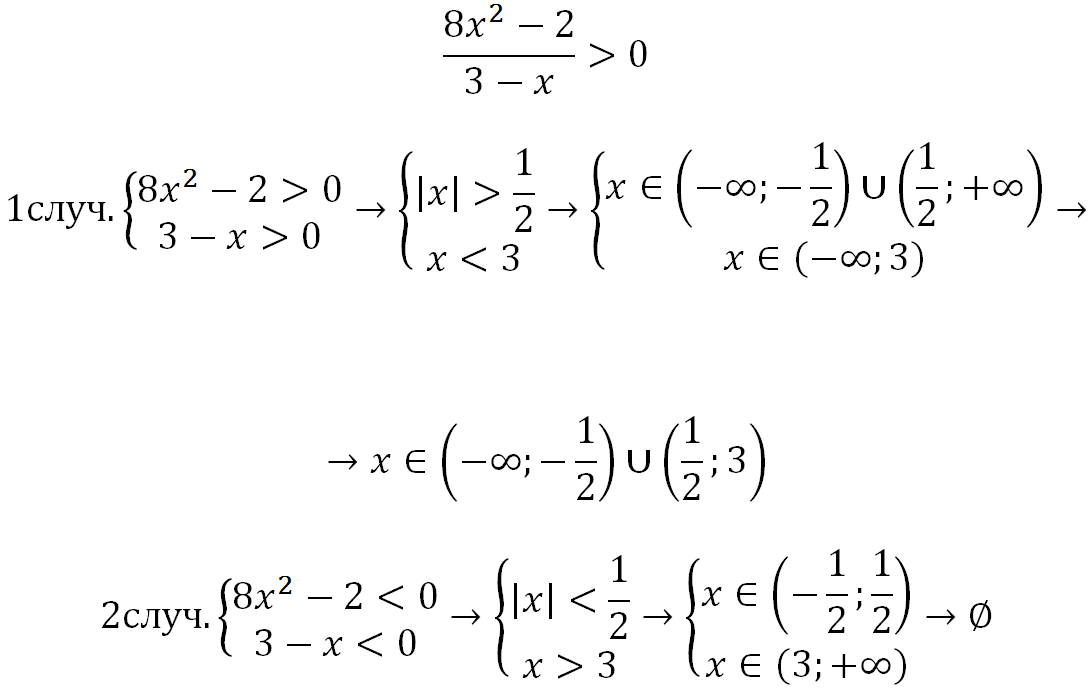
Помогите пожалуйста! Решите неравенство 8x^2-2//3-x>0

Ответы

Ответ дал: AlbuRin
0

!!!!!!!!!!!!!!!!!!!!!!!!!!!!!!!!!!!!!!!!!!!!!!!!!!!!!!!!!!!!!!!!!!!!!!!!!!!!!!!!!!!!!!!!!!!!!!!!!!!!!!!!!!!

Приложения:
Вас заинтересует