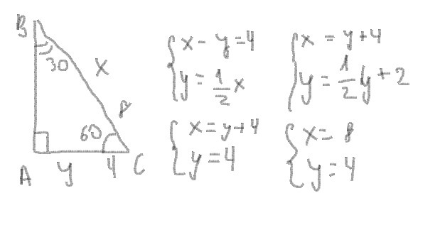
Один из углов прямоугольного треугольника равен 60 градусам , а разность гипотенузы и меньшего катета равна 4 см . Найдите эти стороны.
Ответы
Ответ дал:
0
Находишь углы треугольника, дальше система уравнений.
(P.S. Если что, то против угла в 30 град. лежит половина гипотенузы)
Кстати, потом по т. Пифагора AB=корень из 64-48=корень из 48 = 4 корня из 3
Приложения:

Вас заинтересует
2 года назад
7 лет назад
9 лет назад
9 лет назад
10 лет назад