• Предмет: Алгебра
  • Автор: Аноним
  • Вопрос задан 11 лет назад

Дайте полный ответ

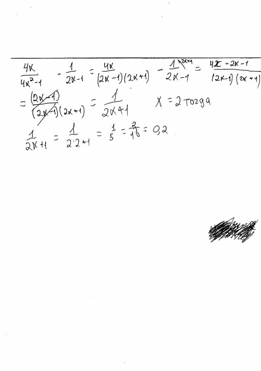
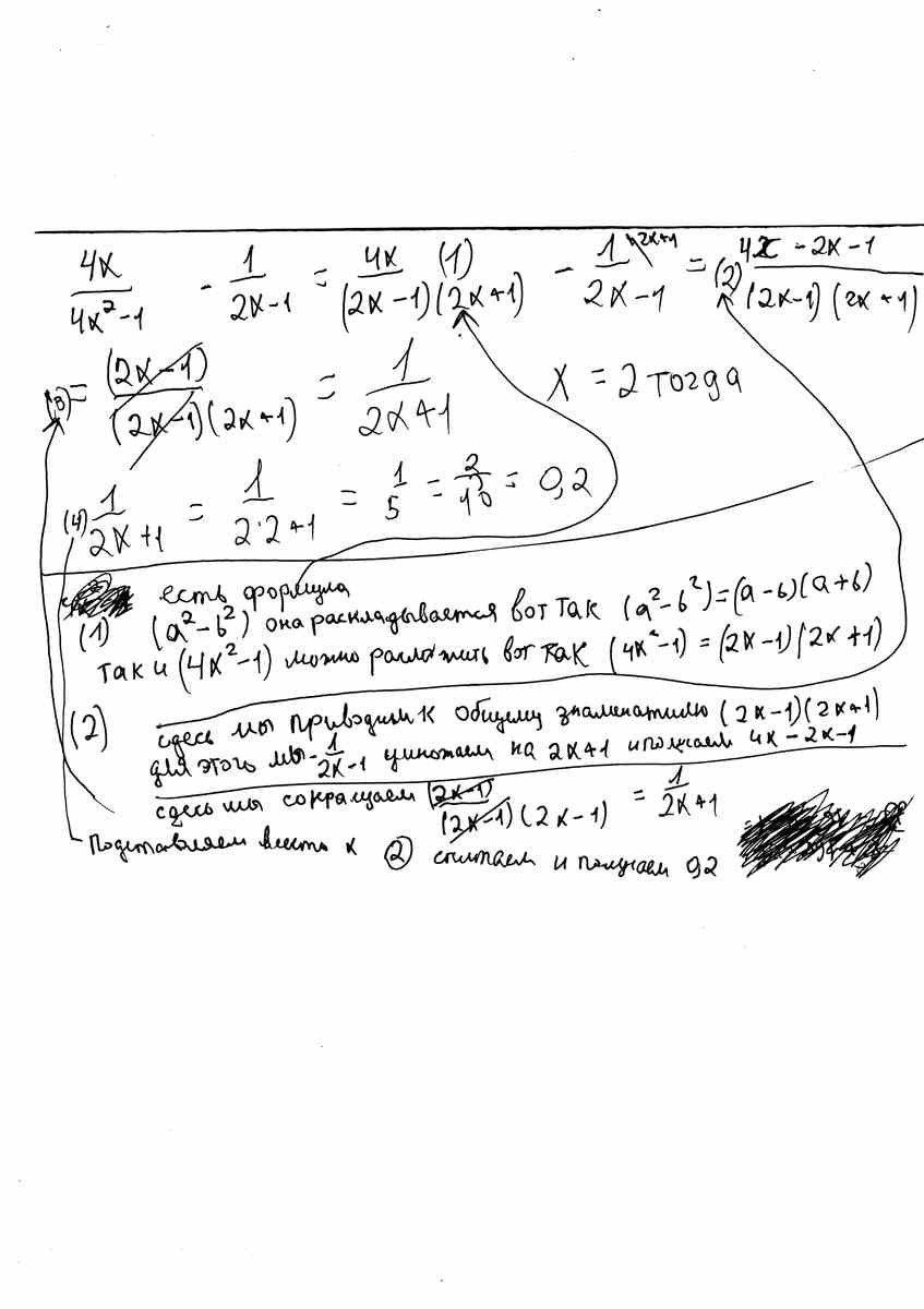
4х                  1

 ----------      -   -----------

4х^2-1            2х-1

при х=2

ответ должен быть 0,2

Ответы

Ответ дал: nikitaaz
0

=========================================================

Приложения:
Ответ дал: 653davehasfg
0

4х                  1

----------      -   ---------= 4x/(2x-1)(2x+1) -1/2x-1= 4x-2x-1/(2x-1)(2x+1)= 2x-1/(2x-1)(2x+1)= 1/2x+1=

4х^2-1            2х-1

=1/2*2+1=1/5=0,2

Приложения:
Вас заинтересует