• Предмет: Математика
  • Автор: 0sveta0
  • Вопрос задан 11 лет назад

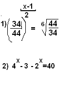
Помагите решить показательные уравнения  ( у меня во втором получилось 5 но я не знаю правельно ли)

 

Приложения:

Ответы

Ответ дал: dtnth
0

пьервое

(frac{34}{44})^{frac{x-1}{2}}=sqrt[6] {frac{44}{34}};\\(frac{34}{44})^{frac{x-1}{2}}=({frac{34}{44}})^{-frac{1}{6}};\\ frac{x-1}{2}=frac{-1}{6};\\3x-3=-1;3x=-1+3;3x=2;x=frac{2}{3}

 

втьорое

4^x-3-2^x=40;2^x=a geq 0;

a^2-a-43=0;D=(-1)^2-4*1*(-43)=173;\\a_1=frac{1-sqrt{173}}{2}<0;a_2=frac{1+sqrt{173}}{2}

 

2^x=frac{1+sqrt{173}}{2};x=log_2frac{1+sqrt{173}}{2}

Вас заинтересует