• Предмет: Алгебра
  • Автор: Алкадиеныч
  • Вопрос задан 9 лет назад

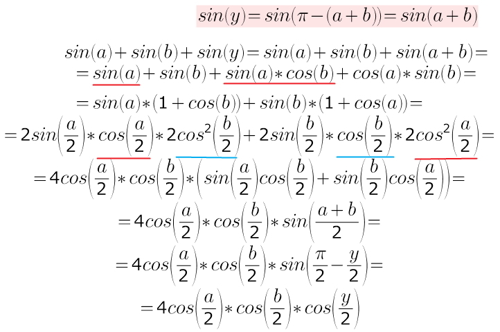
Доказать, что если a+b+y= pi
То справедливо равенство:
sina+sinb+siny=4cos frac{a}{2} *cos frac{b}{2} *cos frac{y}{2}

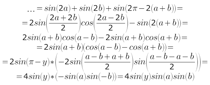
2) sin2a+sin2b+sin2y=4sina*sinb*siny

Ответы

Ответ дал: LFP
0
выразить из условия (у) через два других угла и 
применить формулы:
косинус двойного аргумента,
синус суммы...
синус двойного аргумента,
разность косинусов...
формулы приведения))
Приложения:
Ответ дал: Алкадиеныч
0
а как мы узнали что sin(y)=sin(п-(a+b))
Вас заинтересует