• Предмет: Алгебра
  • Автор: luhxor
  • Вопрос задан 9 лет назад

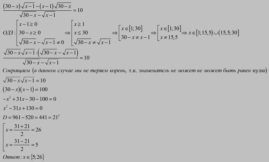
РЕШИТЕ УРАВНЕНИЕ!!!!!

Приложения:

Ответы

Ответ дал: vanoles
0
Добрый вечер, принимайте!
Приложения:
Ответ дал: vanoles
0
беда лишь с текстом, который надо писать, а формулы и вычисления большей частью можно показать
Вас заинтересует