Применение определенного интеграла
Решите плиз!!!! срочн!!!!
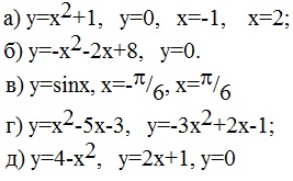
Найдите площадь фигуры, ограниченной линиями:
Приложения:

Ответы
Ответ дал:
0
////////////////////////////////////////////////////////////////
Приложения:

Вас заинтересует
2 года назад
2 года назад
8 лет назад
10 лет назад
10 лет назад
10 лет назад
10 лет назад