• Предмет: Геометрия
  • Автор: Andrey363
  • Вопрос задан 11 лет назад

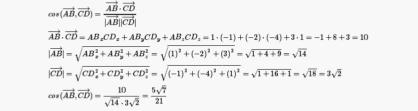
данные четыре точки А(0:1:-1), В(1:-1:2), С(3:1:0), Д(2:-3:1). Найти косинус угла между векторами АС и ВД

Ответы

Ответ дал: Maksim2009rus
0

Решение во вложениях........

Приложения:
Вас заинтересует