АЛГЕБРА, СРОЧНОО
Знаменитель обычной дроби на 11 больший чем его числитель. Если числитель этой дроби увеличить на 1, а знаменитель уменьшить на 2, то полученая дробь будет на 1/9 больше чем начальная. Найдите начальный дробь.
Желательно пошагово.. Срочно!
Ответы
Ответ дал:
0
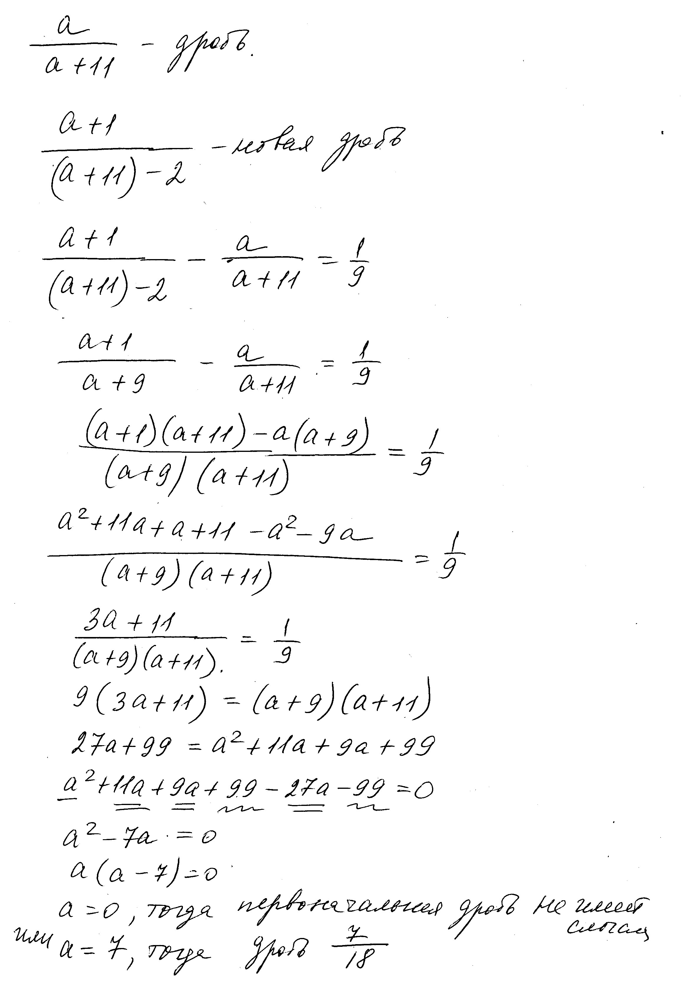
решение вовложенном файле
Приложения:

Ответ дал:
0
Пусть х - знаменатель начальной дроби, тогда (х-11) числитель начальной дроби. Составим уравнение:
х–10 х–11 1
-------- – ------- = ---
х–2 х 9
х^2–10х–х^2+2х+11х–22 1
------------------------------------- = ---
х^2–2х 9
9(3х–22) = х^2–2х
х^2–2х–27х+198 = 0
х^2–29х+198 = 0
Д=/841–4•1•198 = /49 = 7
х1=(29+7)/2=18
х2=(29–7)/2=11
При х=18
18–11=7 (числитель)
8/16–7/18=1/9
1/2–7/18=1/9
(9–7)/18=1/9
2/18=1/9
1/9=1/9
Подходит!
При х=11
11–11=0
0/11 не может являться дробью
Ответ: начальная дробь 7/18
х–10 х–11 1
-------- – ------- = ---
х–2 х 9
х^2–10х–х^2+2х+11х–22 1
------------------------------------- = ---
х^2–2х 9
9(3х–22) = х^2–2х
х^2–2х–27х+198 = 0
х^2–29х+198 = 0
Д=/841–4•1•198 = /49 = 7
х1=(29+7)/2=18
х2=(29–7)/2=11
При х=18
18–11=7 (числитель)
8/16–7/18=1/9
1/2–7/18=1/9
(9–7)/18=1/9
2/18=1/9
1/9=1/9
Подходит!
При х=11
11–11=0
0/11 не может являться дробью
Ответ: начальная дробь 7/18
Приложения:

Вас заинтересует
2 года назад
2 года назад
7 лет назад
7 лет назад
9 лет назад
9 лет назад