Ответы
Ответ дал:
0
о.д.з. x≠ -6, x≠ 6, т.к. знаменатель не может быть равен 0
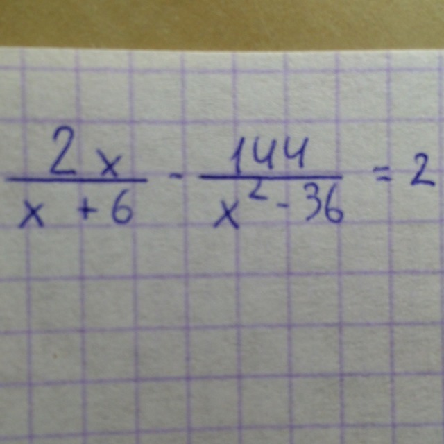
2x 144
--------- - -------------- = 2
x + 6 x² - 36
2x 144
--------- - --------------------- = 2
x + 6 (x + 6)*(x - 6)
2x* (x - 6) - 144 2 * (x + 6)*(x - 6)
---------------------- = ---------------------------
(x + 6)*(x - 6) (x + 6)*(x - 6)
2x² - 12x - 144 = 2*(x² - 36)
2x² - 12x - 144 = 2x² - 72
2x² - 2x² - 12x = -72 + 144
-12x = 72
x = 72/ (-12)
x = -6, что не удовлетворяет о.д.з. ⇒ нет решений
2x 144
--------- - -------------- = 2
x + 6 x² - 36
2x 144
--------- - --------------------- = 2
x + 6 (x + 6)*(x - 6)
2x* (x - 6) - 144 2 * (x + 6)*(x - 6)
---------------------- = ---------------------------
(x + 6)*(x - 6) (x + 6)*(x - 6)
2x² - 12x - 144 = 2*(x² - 36)
2x² - 12x - 144 = 2x² - 72
2x² - 2x² - 12x = -72 + 144
-12x = 72
x = 72/ (-12)
x = -6, что не удовлетворяет о.д.з. ⇒ нет решений
Ответ дал:
0
Большое спасибо!
Ответ дал:
0
Не уверена на 100%,но вроде так
Приложения:

Ответ дал:
0
Благодарю за помощь!
Ответ дал:
0
2* (x^2 - 36) должно равняться 2x^2 - 72
Вас заинтересует
2 года назад
7 лет назад
7 лет назад
9 лет назад
10 лет назад