• Предмет: Алгебра
  • Автор: мур93
  • Вопрос задан 9 лет назад

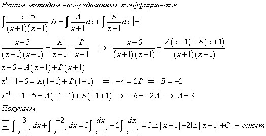
Срочно! Интеграл X-5/(x+1)(x-1)dx

Ответы

Ответ дал: Аноним
0
Решение смотрите на фото. Желаю удачи)
Приложения:
Вас заинтересует