• Предмет: Алгебра
  • Автор: gpalm05
  • Вопрос задан 9 лет назад

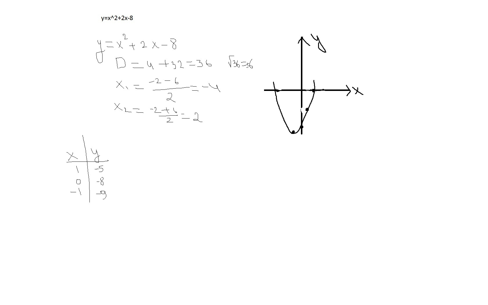
Построить график y=x^2+2x-8

Ответы

Ответ дал: kolbnuk
0
Ответь: Принят.
Не забудьте "Спасибо звезде"

Приложения:
Ответ дал: kolbnuk
0
Тока не збудте "Спасибо звезде"
Вас заинтересует
10 лет назад