• Предмет: Алгебра
  • Автор: katya10378
  • Вопрос задан 11 лет назад

как сложить. log12 (3) + log12 (4) =?

Ответы

Ответ дал: lucifeeer
0

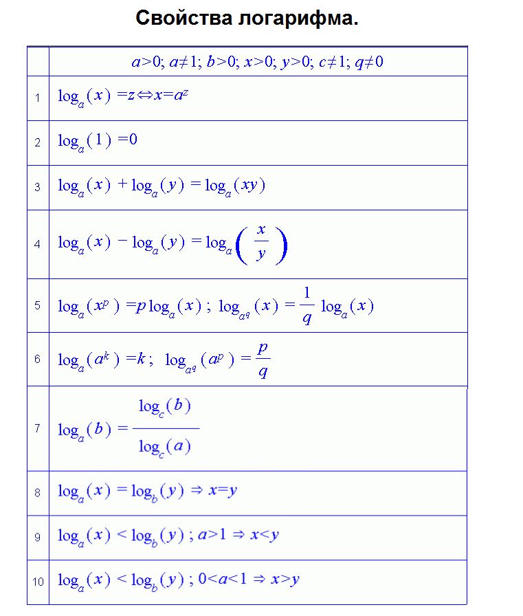
log12 (3*4)= log 12(12) = 1

Ответ дал: Аноним
0

log12 (3) + log12 (4) = log 12 (3*4) = log 12 (12) = 1

 

+ подарок (свойста логарифов) 

Приложения:
Вас заинтересует