• Предмет: Алгебра
  • Автор: FunGmamer
  • Вопрос задан 9 лет назад

Помогите пожалуйста!
Преобразуйте выражение в многочлен.
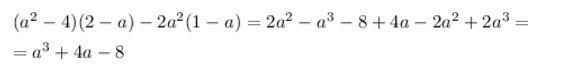
(a^2-4)(2-a)-2a^2(1-a)

Ответы

Ответ дал: dtnth
0
(a^2-4)(2-a)-2a^2(1-a)=2a^2-a^3-8+4a-2a^2+2a^3=
=a^3+4a-8
Приложения:
Ответ дал: FunGmamer
0
Ещё раз спасибо! :)
Вас заинтересует