• Предмет: Алгебра
  • Автор: Carrothouse
  • Вопрос задан 9 лет назад

Впишите вместо значка * недостающие одночлены так ,чтобы получилось тождество: (m-1)(*+4)=m^2+*-*

Ответы

Ответ дал: dtnth
0
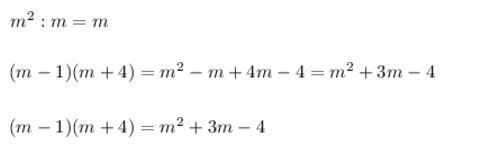
m^2:m=m

(m-1)(m+4)=m^2-m+4m-4=m^2+3m-4

(m-1)(m+4)=m^2+3m-4
Приложения:
Вас заинтересует