• Предмет: Алгебра
  • Автор: Dezentor
  • Вопрос задан 9 лет назад

Решите систему уравнений а то не въезжаю как с квадратом
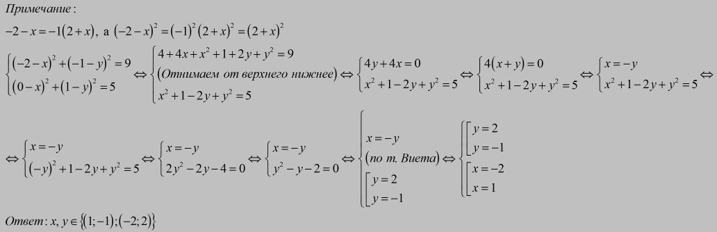
(-2-х)в квадрате + (-1-y)в квадрате =9
(0-x) в квадрете + (1-y) в квадрате = 5

Ответы

Ответ дал: vanoles
0
C осторожностью решаем и с аккуратностью переписываем)))
Приложения:
Вас заинтересует