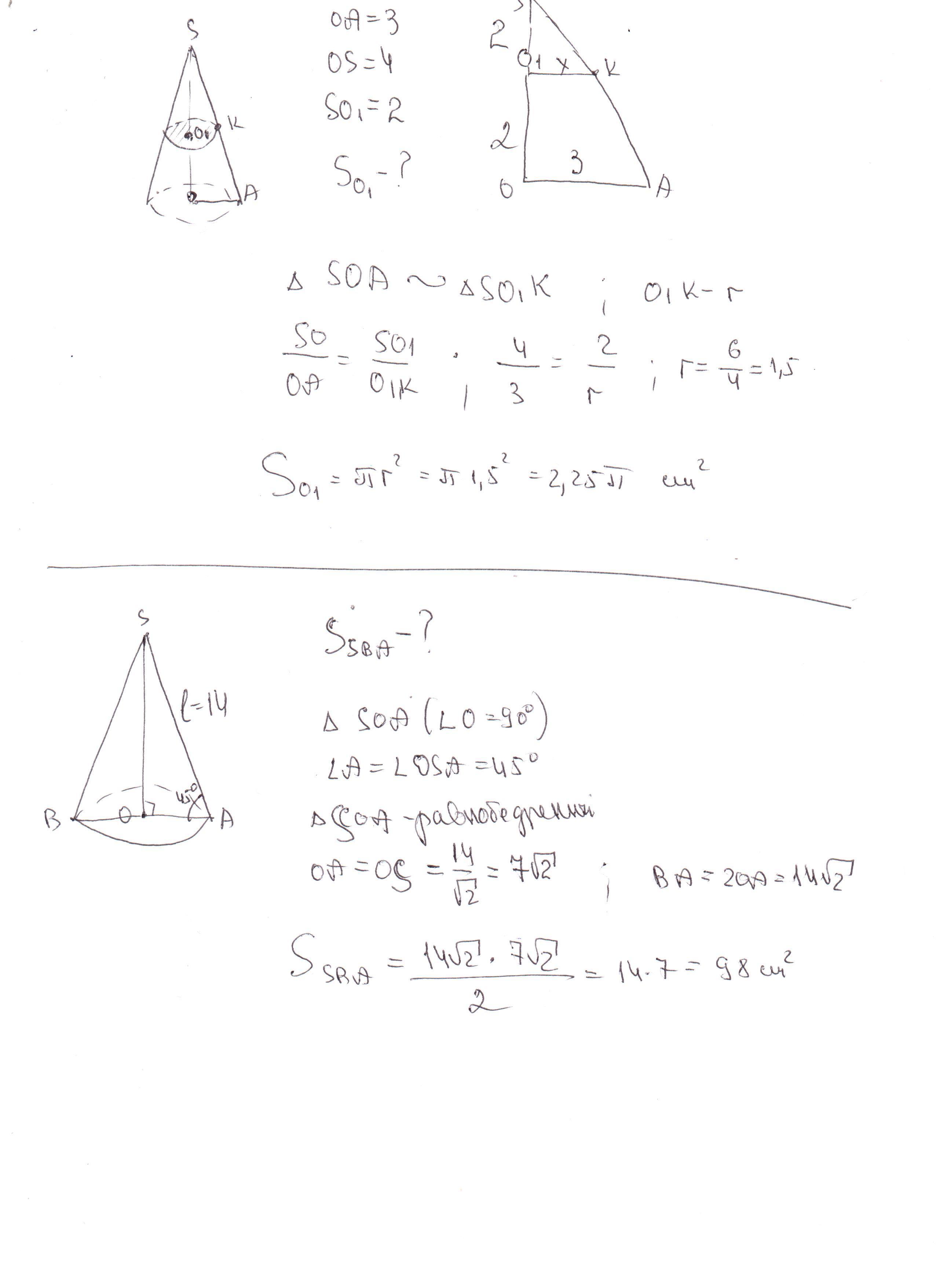
1)радиус основания конуса равен 3 а высота 4 найдите площадь сечения конуса плоскостью параллельной основанию и находящийся на расстояние 2 см от его вершины
2)образующая конуса наклонена к плоскости основания под углом 45 и равен 14 найдите площадь осевого сечения
Ответы
Ответ дал:
0
Добавлено решение на задачу
Приложения:

Ответ дал:
0
Не пишите две задачи в одном запросе
Вас заинтересует
7 лет назад
9 лет назад
10 лет назад