• Предмет: Алгебра
  • Автор: Аноним
  • Вопрос задан 11 лет назад

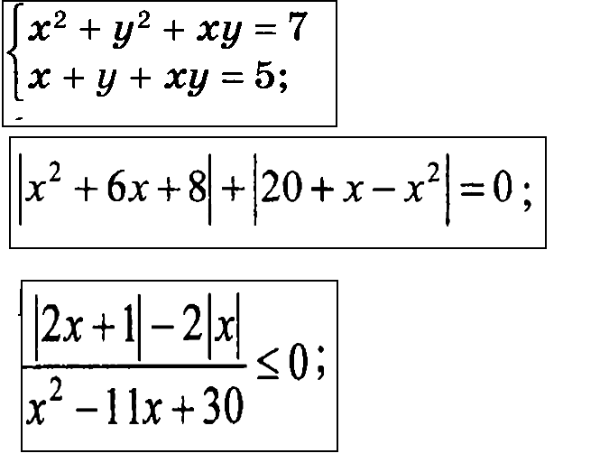
Здесь 3 задания. Решите пожалуйста хоть что нибудь, главное правильно.

 

Приложения:

Ответа на этот вопрос пока нет. Попробуйте найти его через форму поиска.

Вас заинтересует