• Предмет: Алгебра
  • Автор: сахинур2
  • Вопрос задан 9 лет назад

помогите пожалуйста??????????????

Приложения:

Ответы

Ответ дал: samodina
0

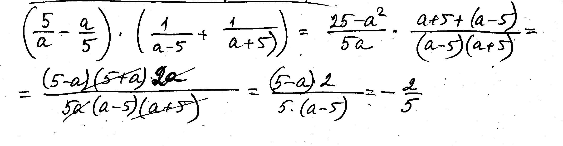
решение во вложенном файле


Приложения:
Вас заинтересует