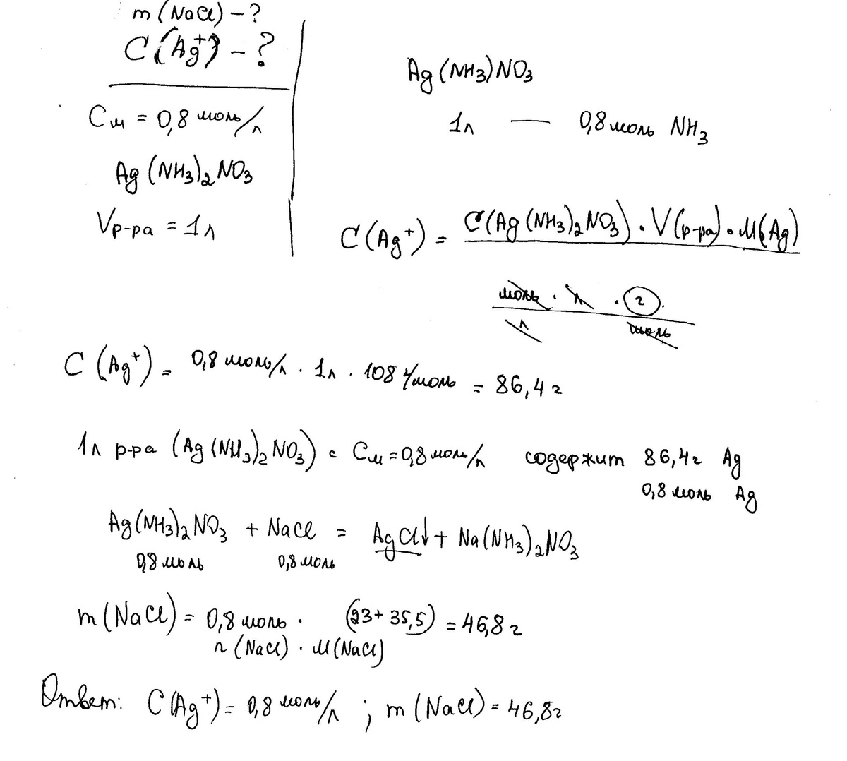
Какова концентрация ионов серебра в 0,8 М растворе нитрата диаминсеребра (I),содержащем 0,8 моль аммиака в 1 л раствора?Какую массу хлорида натрия нужно добавить к 1 л раствора до начала выпадения осадка лорида серебра?
Ответы
Ответ дал:
0
Решение см. в приложении... не поняла для чего нужен аммиак... в решение возможна ошибка ...
Приложения:

Ответ дал:
0
[Ag(NH3)2]NO3+NaCl=>AgCl+2NH3+NaNO3
находим конц, раствора 0,8*1=0,8моль/литр
n([Ag(NH3)2]NO3)=n(NaCl)=1/1
m(NaCl)=n(NaCl)*MM(NaCl)=0.8*58.5=46.8гр
Приложения:

Вас заинтересует
8 лет назад
8 лет назад
10 лет назад
10 лет назад