• Предмет: Алгебра
  • Автор: 125VikA125
  • Вопрос задан 9 лет назад

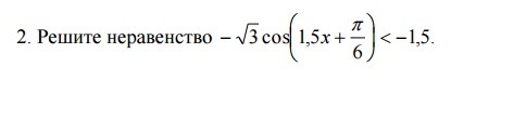
помогите решить тригонометрическое неравенство

Приложения:

Ответы

Ответ дал: DeSex
0
Решение в приложенном файле pdf.
Приложения:
Вас заинтересует