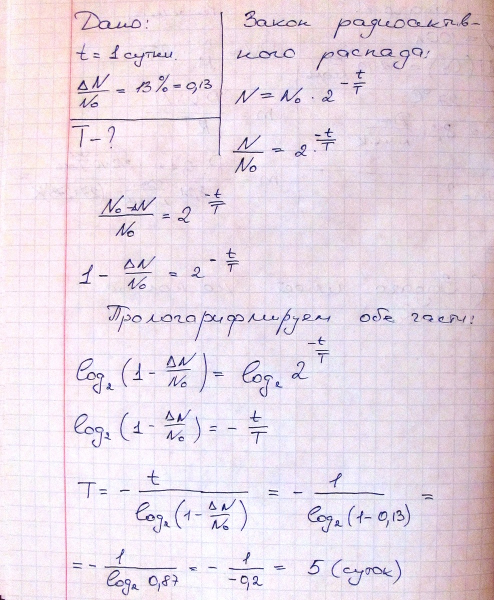
Число радиоактивных атомов изотопа висмута 210Bi изменилось на 13% в течение 1 суток. Определить период полураспада
Ответы
Ответ дал:
0
Смотрите решение во вложении
Приложения:
Вас заинтересует
3 года назад
3 года назад
8 лет назад
8 лет назад
11 лет назад
11 лет назад
11 лет назад