• Предмет: Математика
  • Автор: 1111Максим1111
  • Вопрос задан 9 лет назад

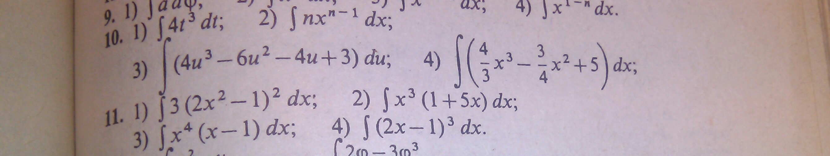
Помогите решить интегралы под цифрами 1,3

Приложения:

Ответа на этот вопрос пока нет. Попробуйте найти его через форму поиска.

Вас заинтересует