Ответы
Ответ дал:
0
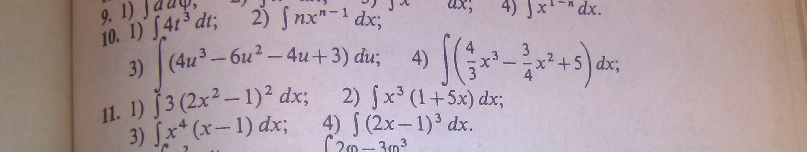
№11
1)∫3(2x^2-1)^2 dx=∫3(4x^4-4x^2+1) dx = ∫(12x^4-12x^2+3) dx = 12x^5/5-12x^3/3+3x=2,4x^5-4x^3+3x+C
3)∫x^4(x-1) dx=∫(x^5-x^4) dx=x^6/6-x^5/5+C
№10
1)∫4t^3 dt = 4t^4/4 = t^4+C
3)∫(4u^3-6u^2-4u+3) du = 4u^4/4-6u^3/3-4u^2/2+3u=u^4-2u^3-2u^2+3u+C
1)∫3(2x^2-1)^2 dx=∫3(4x^4-4x^2+1) dx = ∫(12x^4-12x^2+3) dx = 12x^5/5-12x^3/3+3x=2,4x^5-4x^3+3x+C
3)∫x^4(x-1) dx=∫(x^5-x^4) dx=x^6/6-x^5/5+C
№10
1)∫4t^3 dt = 4t^4/4 = t^4+C
3)∫(4u^3-6u^2-4u+3) du = 4u^4/4-6u^3/3-4u^2/2+3u=u^4-2u^3-2u^2+3u+C
Ответ дал:
0
Спасибо!!!!!!!
Вас заинтересует
2 года назад
2 года назад
7 лет назад
7 лет назад
10 лет назад
10 лет назад
10 лет назад