• Предмет: Алгебра
  • Автор: safronov1999301
  • Вопрос задан 11 лет назад

Решите Систему уравнения методом алгеброического сложения:

5x+3у=1,4
-7х-10у=5

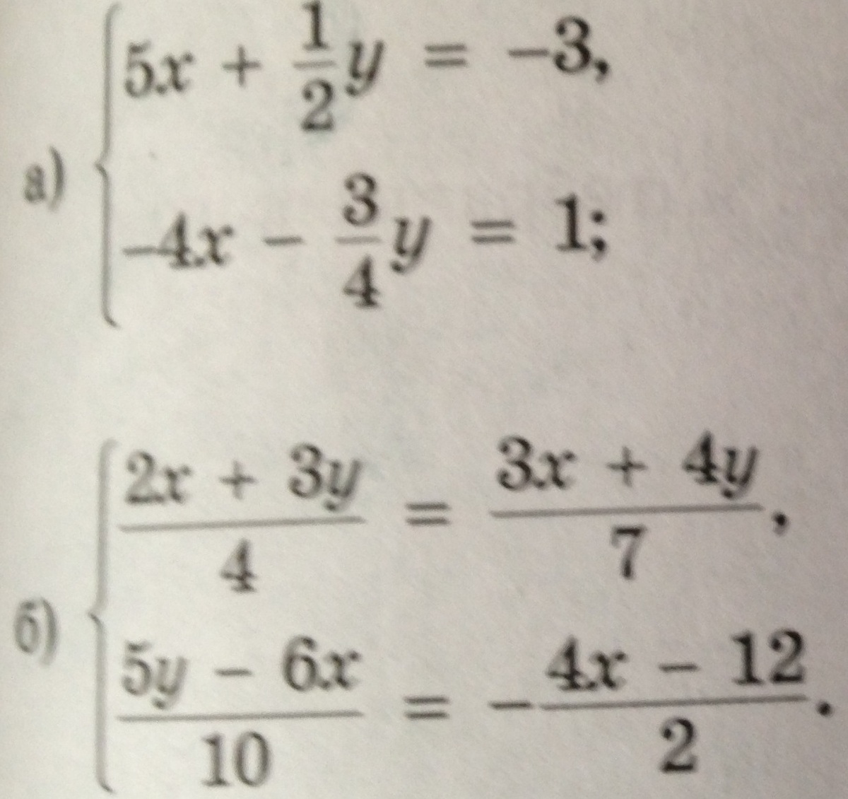
Решите систему уравнений методом подстановки:

Примеры на фотографии ниже

 

 

 

 

 

 

Приложения:

Ответы

Ответ дал: Аноним
0

Решение Вашего задания во вложении

Приложения:
Вас заинтересует