Ответы
Ответ дал:
0
log5(x+y) = 0
x^2 - 3y = 7
рассмотрим первое уравнение, 0 = log5 (1)
получается такая система ур-ний:
log5(x+y) = log5(1)
x^2 - 3y = 7
x+y = 1
x^2 - 3y = 7
x = 1 - y
x^2 - 3y = 7
x = 1 - y
(1-y)^2 - 3y = 7
x=1-y
1 - 2y + y^2 - 3y = 7
x = 1 - y
y^2 - 5y -6 = 0, отсюда y1 = 3, y2 = 2, подставим эти значения в первое уравнение поочереди:
x1 = 1-3= -2
x2 = 1-2= -1
Ответ: x1 = -2, y1 = 3; x2 = -1, y2 = 2.
Ответ дал:
0
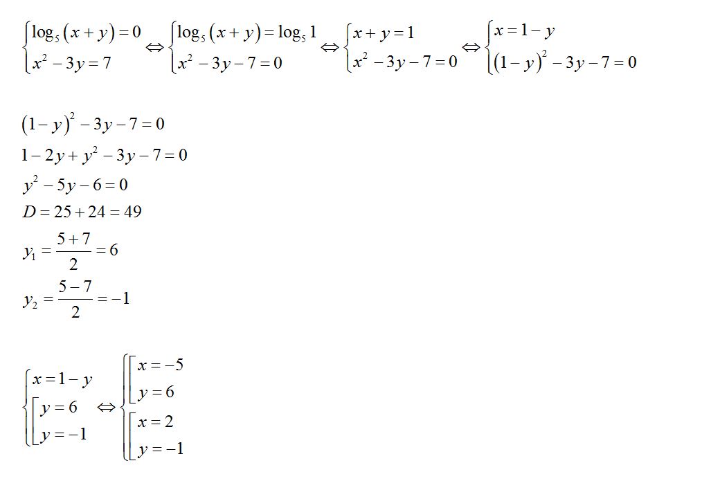
см. вложение
=====================================================
Приложения:

Вас заинтересует
2 года назад
2 года назад
8 лет назад
8 лет назад
10 лет назад
10 лет назад