• Предмет: Алгебра
  • Автор: Ноунейм1984
  • Вопрос задан 9 лет назад

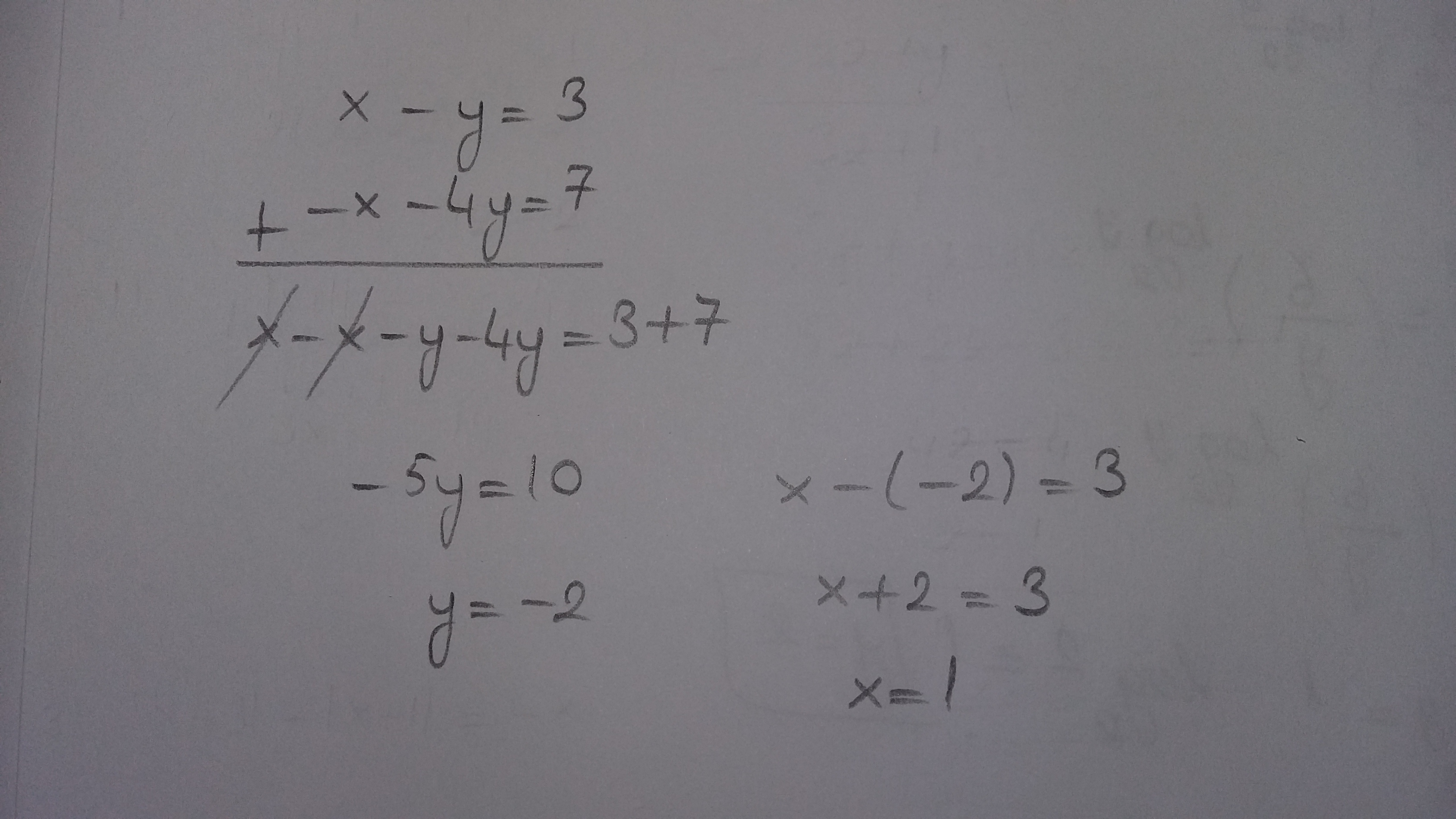
Решите систему уравнений графически.
x - y = 3
- x - 4y = 7

Ответы

Ответ дал: Отличник12345767
0
Введём значение переменной. Допустим, х=0. Получится 0- 4у=7. Значит, у=-1,75. Далее. Допустим х=2, Значит, 6-4у=7. у=0,25. Проводим первую прямую. Далее. х=0. у=1,5. х=2. у=-3,5 Находим точку пересечения. Ответ:х=1, у = -1
Ответ дал: Аноним
0
I hope this helps you
Приложения:
Вас заинтересует