• Предмет: Математика
  • Автор: ollechcka
  • Вопрос задан 11 лет назад

Помогите решить.

 

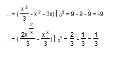
intlimits^3_0 {(x+1)(x-3)} , dx

 

intlimits^1_0 {(sqrt{x}-x^{2})} , dx

 

 

 

 

Ответы

Ответ дал: okneret
0

использованы формулы интеграла степени, интеграла алгебраической суммы, правило вычисления определенного интеграла

Приложения:
Вас заинтересует