Ответы
Ответ дал:
0
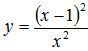
y=kx+b - уравнение асимптоты.
1. k=limₓ₋₀₀(f(x)/x)=limₓ₋₀₀((x-1)²/x³)=0, читайте ₀₀ как ∞.
b=limₓ₋₀₀(f(x)-kx)=limₓ₋₀₀(1-2/x+1/x²)=1
y=kx+b ⇒ y=1 - горизонтальная асимптота.
2. в критических точках найдём предел справа и слева:
limₓ₋₀₊₀((x-1)²/x²)=+∞
limₓ₋₀₋₀((x-1)²/x²)=+∞
x=0 - вертикальная асимптота.
1. k=limₓ₋₀₀(f(x)/x)=limₓ₋₀₀((x-1)²/x³)=0, читайте ₀₀ как ∞.
b=limₓ₋₀₀(f(x)-kx)=limₓ₋₀₀(1-2/x+1/x²)=1
y=kx+b ⇒ y=1 - горизонтальная асимптота.
2. в критических точках найдём предел справа и слева:
limₓ₋₀₊₀((x-1)²/x²)=+∞
limₓ₋₀₋₀((x-1)²/x²)=+∞
x=0 - вертикальная асимптота.
Вас заинтересует
2 года назад
2 года назад
7 лет назад
10 лет назад
10 лет назад
10 лет назад