Ответы
Ответ дал:
0
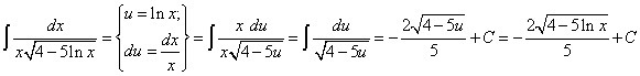
Решение смотрите на фото. Желаю удачи.
Приложения:

Вас заинтересует
2 года назад
2 года назад
7 лет назад
7 лет назад
10 лет назад