• Предмет: Алгебра
  • Автор: Саша56739
  • Вопрос задан 11 лет назад

похідна складеної функції?

Ответы

Ответ дал: Гоша68
0

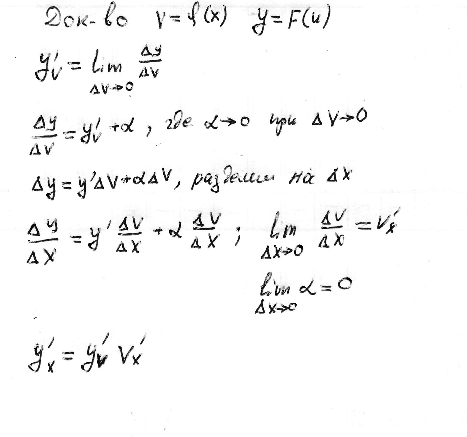
Если функция V=φ(x) имеет в некоторой точке х производную =φ'(x), a функция y=F(V) имеет при соответствуещем значении и производную =F'(v), то

y'=F'(v)φ'(x)

кратко производная сложной функции равна произведению данной функции попромежуточному аргументу и на производную промежуточного аргумента по х.

доказательство в приложении

Приложения:
Вас заинтересует