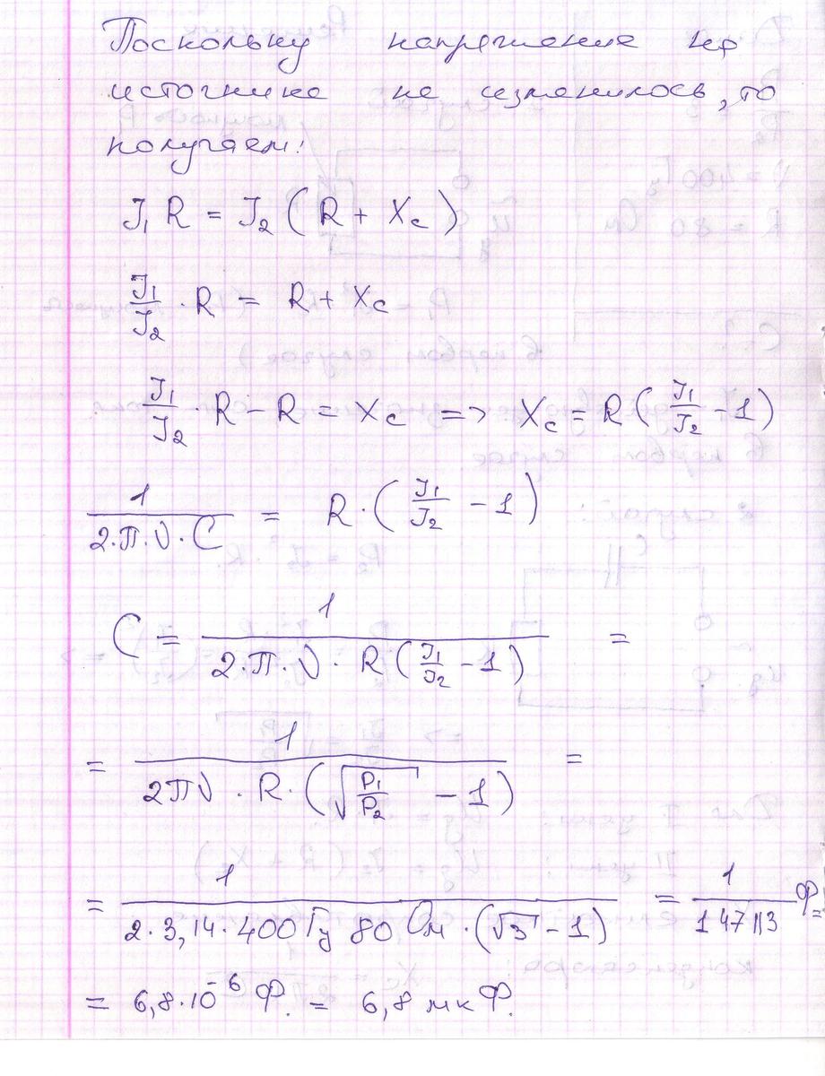
Определить емкость конденсатора, если при его последовательном соединении с электрической плиткой с активным сопротивлением 80 Ом выделяющаяся мощность уменьшается в 3 раза.Частота переменного тока равна 400 Гц.
(решитьл с формулами и пояснениями)
Ответы
Ответ дал:
0
Решение задачи смотрите во вложениях
Приложения:
Вас заинтересует
3 года назад
3 года назад
8 лет назад
8 лет назад
11 лет назад
11 лет назад
11 лет назад