ПОМОГИТЕ ПОЖАЛУЙСТА
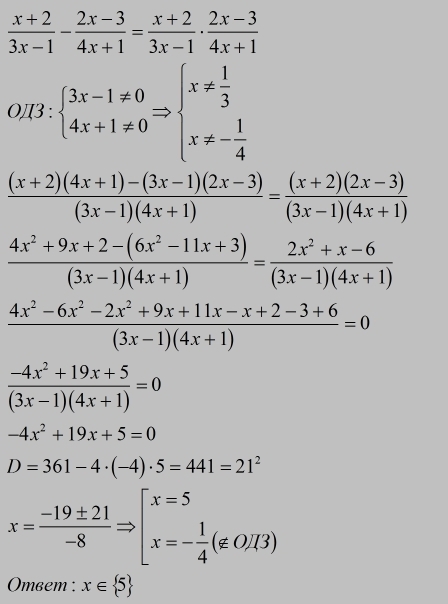
Найдите все значения переменной x,при которых разность дробей x+2/3x-1 и 2x-3/4x+1 равна их произведению
Ответы
Ответ дал:
0
Вот вам, пожалуйста! Сладких снов!
Приложения:

Вас заинтересует
2 года назад
7 лет назад
7 лет назад
9 лет назад
9 лет назад
10 лет назад