• Предмет: Алгебра
  • Автор: UAGamesTactics
  • Вопрос задан 9 лет назад

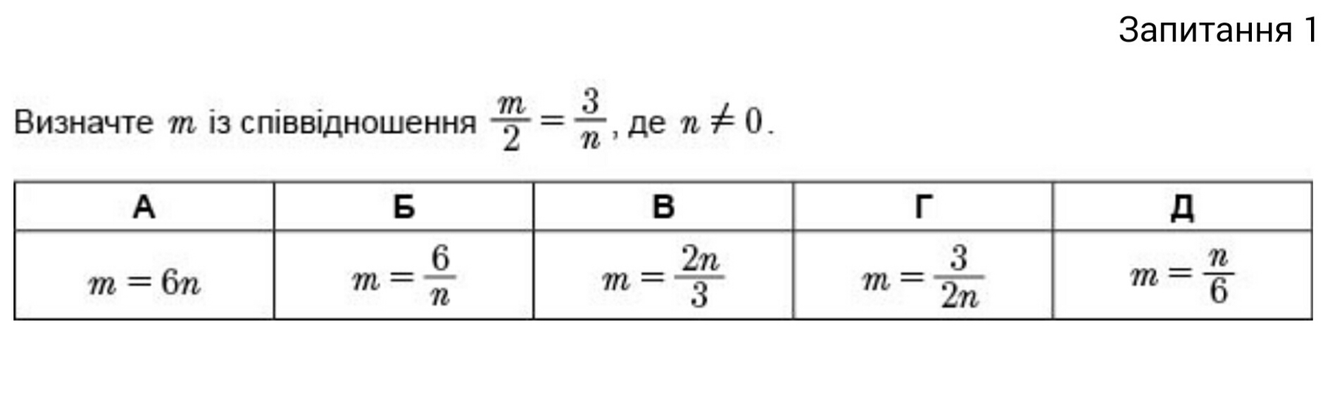
Найти m с соотношения

Приложения:

Ответы

Ответ дал: rubilovalex
0
mn=6, m=6/n. ответ: буква: Б).
Вас заинтересует