Ответы
Ответ дал:
0
I hope this helps you
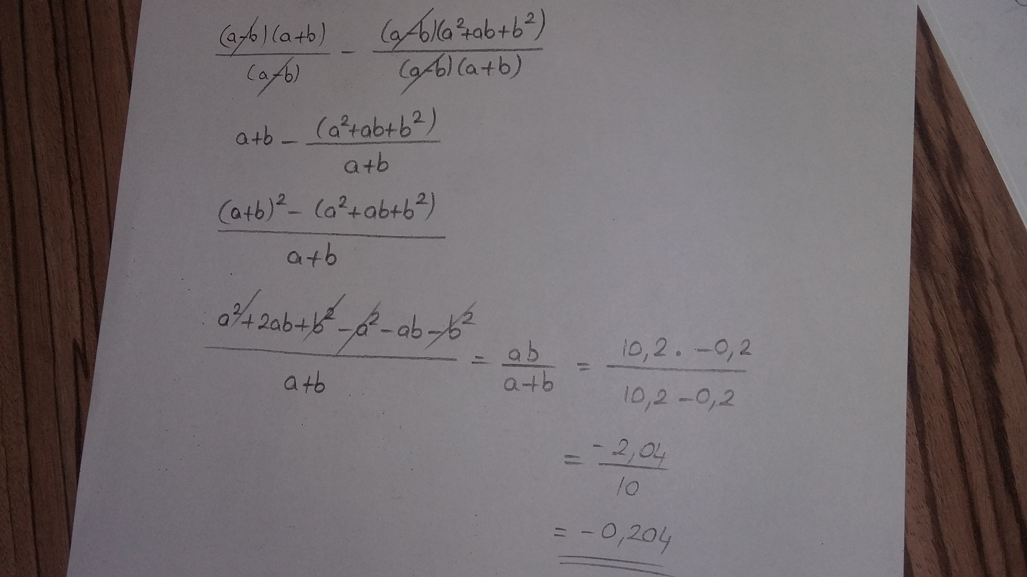
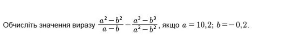
Приложения:

Вас заинтересует
2 года назад
7 лет назад
10 лет назад