• Предмет: Алгебра
  • Автор: Машка014
  • Вопрос задан 9 лет назад

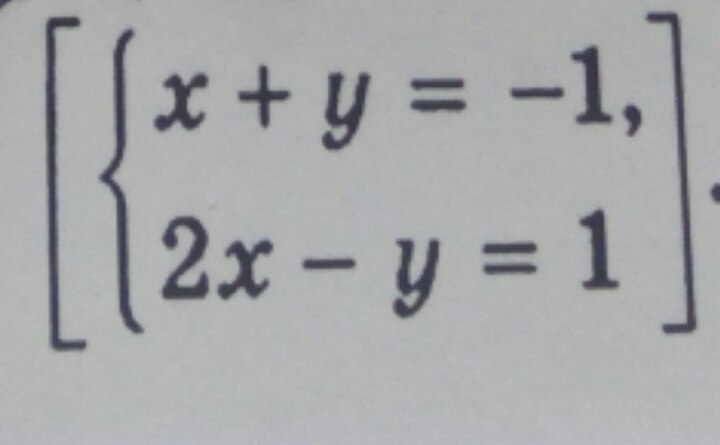
Решить графически систему уравнений. Ребят,начертите на листочке и решите,сфоткайте и сюда добавьте ответ. Очень вас прошу,пожалуйста!)))♥♥♥

Приложения:

Ответы

Ответ дал: ВладимирБ
0
Решение смотри на фото
Приложения:
Вас заинтересует