Ответы
Ответ дал:
0
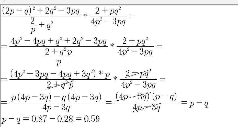
см фото
===================
===================
Приложения:

Вас заинтересует
2 года назад
10 лет назад