• Предмет: Алгебра
  • Автор: TheDarMaK
  • Вопрос задан 9 лет назад

Разложите на множители
32a^4b-162b
Решите уравнения
(x^2-7x)-x+7=0

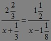
Приложения:

Ответа на этот вопрос пока нет. Попробуйте найти его через форму поиска.

Вас заинтересует