• Предмет: Физика
  • Автор: zorindaniil
  • Вопрос задан 9 лет назад

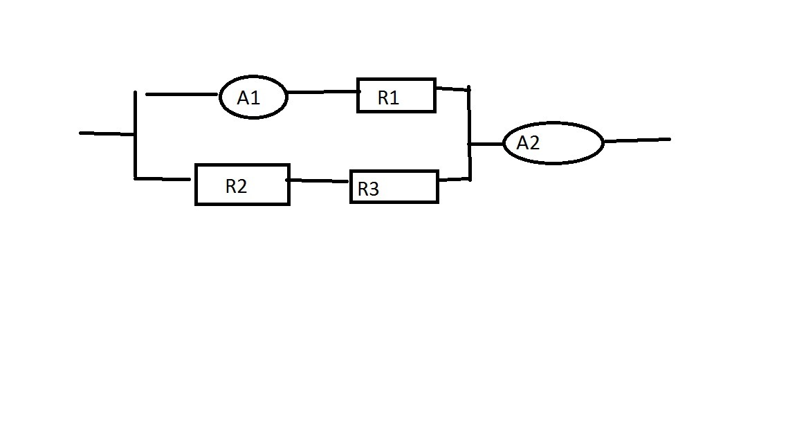
Как найти силу тока на 1-ом амперметре, если R1=R2=R3
I2=3A

Приложения:

Ответы

Ответ дал: au456
0
сопротивление (току!) в цепи где амперметр номер один в два раза меньше чем сопротивление в нижней цепи. Значит ток в этой цепи в два раза больше чем в нижней цепи. А в сумме эти два тока дают 3А. в верхней цепи 2А - это ответ! , в нижней один.
Вас заинтересует