• Предмет: Алгебра
  • Автор: vanok8000
  • Вопрос задан 11 лет назад

срочно  

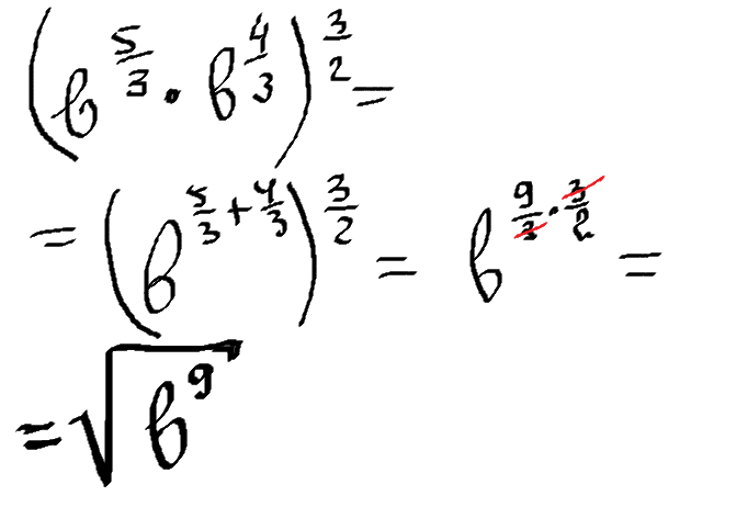
 представьте в виде корня (b 53*b 43)32

53 43 32 это степень 

этот знак дроби  

                                                         

                                                           

                                                          

Ответы

Ответ дал: Аноним
0

см. вложение

===============================

Приложения:
Ответ дал: CVita
0

b^frac{5}{3}=sqrt[3]{b^5}

b^frac{4}{3}=sqrt[3]{b^4}

в итоге

sqrt[2]{(sqrt[3]{b^5}*sqrt[3]{b^4})^3}=sqrt[2]{sqrt[3]{b^5*b^4}^3}=sqrt{b^5*b^4}=sqrt{b^9}=4bsqrt{b}

Приложения:
Вас заинтересует