Помогите пожалуйста)0))
Срооочно!!!!
Приложения:

0пупочек0:
21,22
120х-30х=30
90х=30
x=1/3
значит скорость мотоциклиста 4/3 км/мин, а за час 4*60:3=80 км\час
проверка 20*(30+10):60=10*80:60
20*30:60=80*30:60 -30
Ответы
Ответ дал:
1
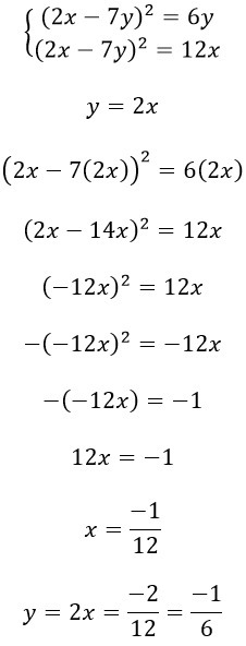
Решение к первому уже есть на данном ресурсе, так что сюда я его копировать не стал. Ссылка на страницу в комментариях к вопросу. Вот решение для 21.
Приложения:

120х-30х=27
90х=27
x=27/90=0,3км/мин=18км/час
Вас заинтересует
1 год назад
1 год назад
2 года назад
2 года назад
3 года назад
3 года назад
8 лет назад