• Предмет: Алгебра
  • Автор: Лурф
  • Вопрос задан 9 лет назад

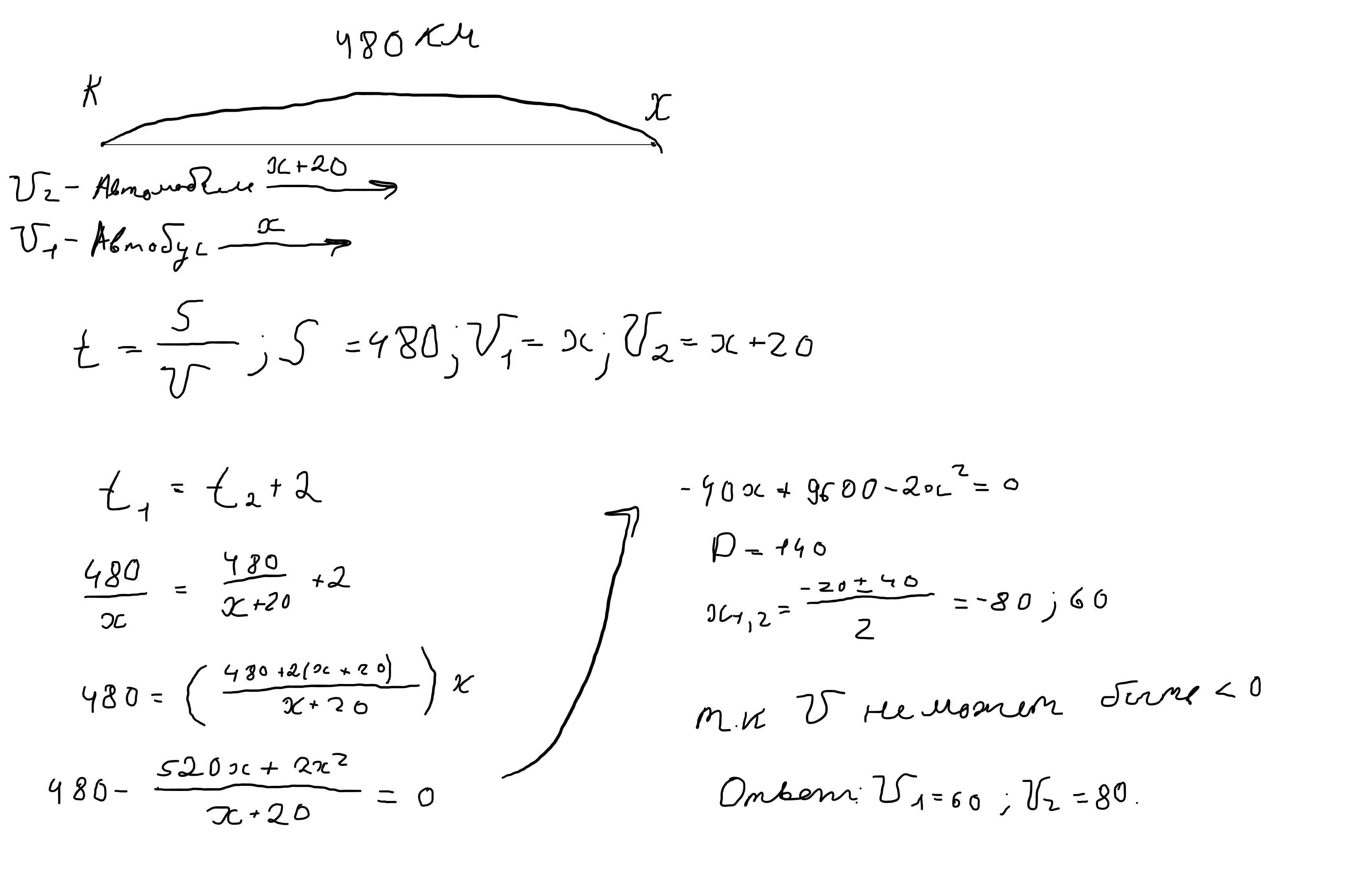
из киева до харькова одновременно выехали автобус и автомобиль.скорость автомобиля 20 км/год больше за скорость автобуса,поэтому он прибыл в киев на 2 часа раньше.найдите скорость автобуса и автомобиля,если расстояние между городами 480 км.

Ответы

Ответ дал: contrlc
0
Ответ:::::::::::::::::::::::::::
Приложения:
Вас заинтересует