Помогите избавиться от иррациональности в знаменателе, и решить производную.
Ниже вложения - задание.


Ответы
1) 12 ^ 3 V 4 = 12 (2^2)^13 = 12 2 ^ 23 = 2^2 * 3 2^ 23 = 3 * 2 ^ (2 - 23 ) =
= 3 * 2 ^ (43)
........................................
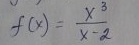
2) F (X) = X^3 X - 2
F'(X) = 3X^2*(X-2) - X^3*(1) (X-2)^2 = 3X^3-6X^2 - X^3 X^2 - 2X + 4 =
= 2X^3 - 6X^2 X^2 - 2X + 4
Надо домножить и числитель и знаменатель на ∛4², тогда получим
12 *∛4² 12 * 2∛2
-------------- = -------------- = 6∛2
∛4 * ∛4² 4
3x²(x-2) - x³ 3x³-6x²-x³ 2x³-6x² 2x²(x-3)
2) f¹(x)= ------------------ = --------------- = ------------ = -------------
(x-2)² (x-2)² (x-2)² (x-2)²