Ответы
Ответ дал:
0
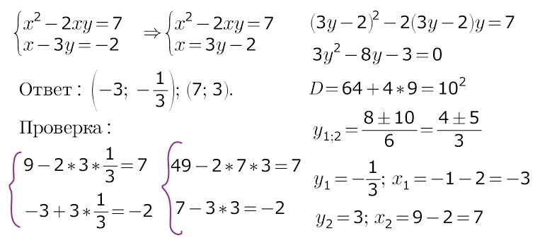
3) система не трудная... метод подстановки))
2) уравнение с дробями удобнее решать заменой, чтобы "понизить степень", иначе уравнение сведется к уравнению четвертой степени...
и у него действительно четыре корня...
1) а вот первое уравнение интересное...
задача всегда: разложить на множители и приравнять каждый множитель к нулю (т.к. в правой части равенства 0)))
здесь у квадратных трехчленов корней нет, но квадратный трехчлен на множители можно разложить не только через корни)))
когда корней нет, то можно попытаться "выделить полный квадрат"...
по виду уравнения легко предположить, что корень должен быть отрицательным числом,
т.к. (положительное число) + 5х*(положительное число) = 0
это верно только если х < 0, поэтому проверку (которую полезно делать всегда))) я сделала только для положительного корня... все верно...
2) уравнение с дробями удобнее решать заменой, чтобы "понизить степень", иначе уравнение сведется к уравнению четвертой степени...
и у него действительно четыре корня...
1) а вот первое уравнение интересное...
задача всегда: разложить на множители и приравнять каждый множитель к нулю (т.к. в правой части равенства 0)))
здесь у квадратных трехчленов корней нет, но квадратный трехчлен на множители можно разложить не только через корни)))
когда корней нет, то можно попытаться "выделить полный квадрат"...
по виду уравнения легко предположить, что корень должен быть отрицательным числом,
т.к. (положительное число) + 5х*(положительное число) = 0
это верно только если х < 0, поэтому проверку (которую полезно делать всегда))) я сделала только для положительного корня... все верно...
Приложения:
Ответ дал:
0
Большое спасибо за верное решение и потраченное на него время!
Ответ дал:
0
пожалуйста))
Вас заинтересует
2 года назад
7 лет назад
10 лет назад
10 лет назад