• Предмет: Алгебра
  • Автор: Павлик73239392
  • Вопрос задан 9 лет назад

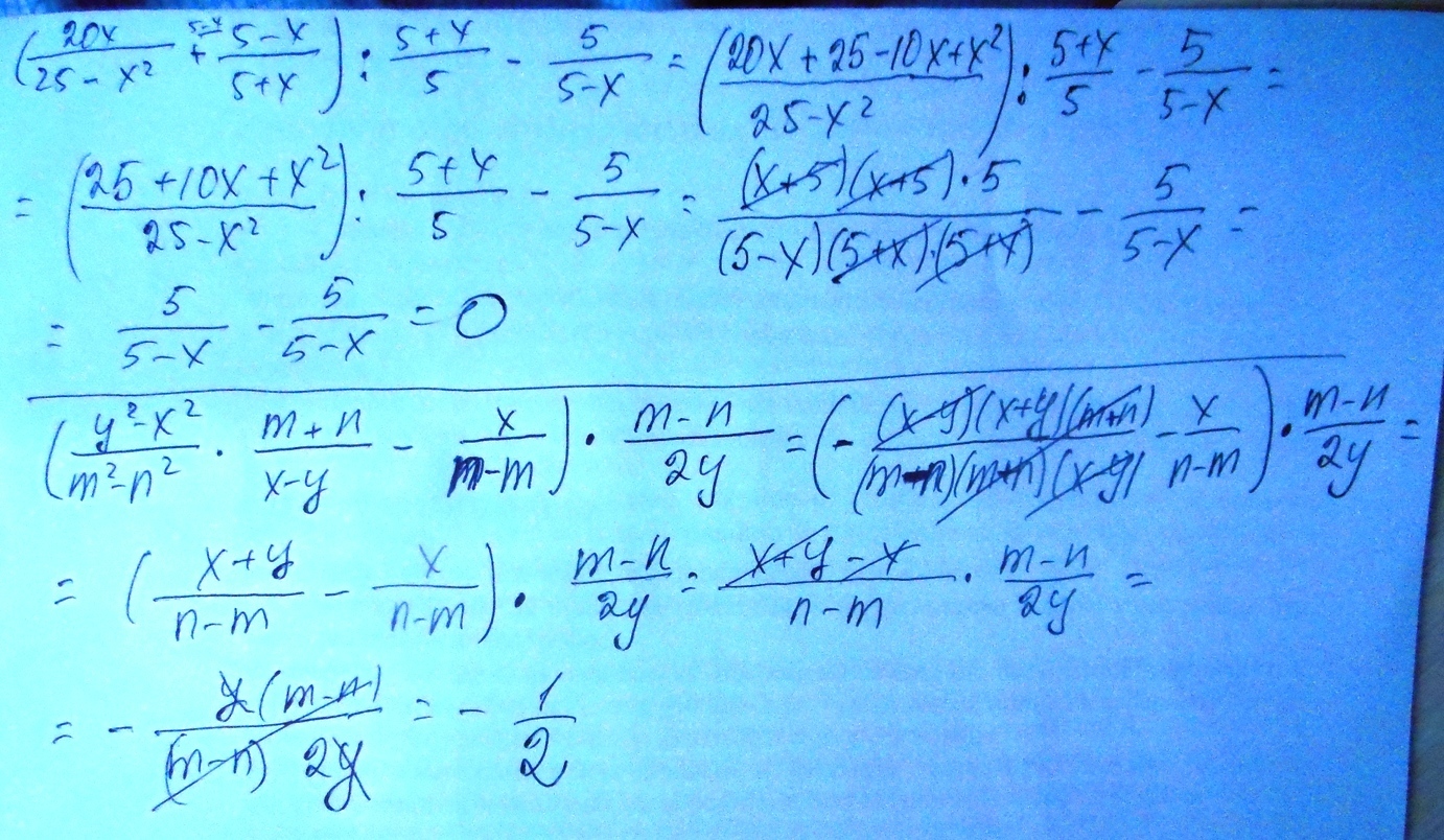
Ребят помогите мне решить 4 примера?)За ранее спасибо)

Приложения:

Ответы

Ответ дал: miron2077
0
!!!!!!!!!!!!!!!!!!!!!!!!!!!!!!
Приложения:
Вас заинтересует