Ответы
Ответ дал:
0
воооооооооооооот
удачи!)
удачи!)
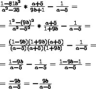
Приложения:

Вас заинтересует
2 года назад
7 лет назад
7 лет назад
9 лет назад
9 лет назад
10 лет назад